5.帯域制限によるシンボル間干渉(Inter Symbol Interference:ISI)

● コサインロールオフフィルタ

 ところで,コサインロールオフフィルタは,図6で示すようにT [sec]ごとにゼロクロスするインパルス応答,すなわちナイキスト第一基準を満足するのであろうか? この疑問に答えてみることにしよう2)

 コサインロールオフフィルタの振幅特性Yω)を,図9(a)に示しておく.Yω)はY1ω)〔図9(b)〕とY2ω)〔図9(c)〕に分けることができる.Y1ω)は,逆フーリエ変換するとsin関数となり,π/ω1ごとにゼロクロスし,符号間干渉がない(問題1.2).すなわちナイキスト第一基準を満足している.

〔図9〕コサインロールオフフィルタの振幅特性〔(a)=(b)+(c)〕

 そこで,Y2ω)のようなω1に関して奇対称な振幅特性を有するシステムもナイキスト第一基準を満足すれば,コサインロールオフフィルタ全体として零ISIとなることがわかる.この問題に対して,付録[1]章末)よりY2ω)のインパルス応答y2t )は,π/ω1ごとにゼロクロスするので,ω1=π/T とおくとナイキスト第一基準を満足していることがわかる.

● コサインロールオフフィルタのインパルス応答

 コサインロールオフフィルタの振幅特性Hω)は,図8(b)より次式で与えられる(ただし,aはロールオフ率).

(1.4)

 ここで,コサインロールオフフィルタのインパルス応答は,

Hω)の逆フーリエ変換により求まる.

(1.5)

 上記のコサインロールオフフィルタのインパルス応答h(t)の導出をMATLABのSymbolic Math toolboxを用いて行う.そのM-fileと出力結果をリスト1リスト2にそれぞれ示しておく.

〔リスト1〕コサインロールオフフィルタのインパルス応答の導出
%コサインロールオフフィルタのインパルス応答を導出するm-file

% Symbolic mathを利用

%1998.6/6 by Tomohide

% copyright 尾知 博

A='1/(2*pi)'*int('T*exp(j*w*t)','w','-pi*(1-alpha)/T','pi*(1-alpha)/T');

simplify(A)

B='T/(4*pi)'*int('exp(j*w*t)','w','pi*(1-alpha)/T','pi*(1+alpha)/T');

simplify(B)

C='T/(4*pi)'*int('exp(j*w*t)','w','-pi*(1+alpha)/T','-pi*(1-alpha)/T');

simplify(C)

D='-T/(4*pi)'*int('sin(T/(2*alpha)*(w-pi/T))*exp(j*w*t)','w',

'pi*(1-alpha)/T','pi*(1+alpha)/T');

simplify(D)


E='-T/(4*pi)'*int('-sin(T/(2*alpha)*(w+pi/T))*exp(j*w*t)','w',

'-pi*(1+alpha)/T','-pi*(1alpha)/T');

simplify(E)


COS_ROFF=simplify(A+B+C+D+E)

〔リスト2〕リスト1の結果
% 実行結果

%A

ans =

-T*sin(pi*(alpha-1)/T*t)/pi/t

%B

ans =

-1/4*i*(exp(i*pi*(1+alpha)/T*t)*T-exp(-i*pi*(alpha-1)/T*t)*T)/pi/t

%C

ans =

-1/4*i*(exp(i*pi*(alpha-1)/T*t)*T-exp(-i*pi*(1+alpha)/T*t)*T)/pi/t

%D

ans =

i*(exp(i*pi*(1+alpha)/T*t)*alpha^2*t*T+exp(-i*pi*(alpha-1)/T*t)

*alpha^2*t*T)/(4*pi*t^2*alpha^2-pi*T^2)

%COS_ROFF

ans =

-i*(exp(i*pi*(alpha-1)/T*t)*alpha^2*t*T+exp(-i*pi*(1+alpha)/T*t)

*alpha^2*t*T)/(4*pi*t^2*alpha^2-pi*T^2)

COS_ROFF =

1/2*T^3*(-sin(pi*(1+alpha)/T*t)+sin(pi*(alpha-1)/T*t))/pi/t
/(4*t^2*alpha^2-T^2)

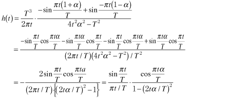
 リスト2の出力結果をさらに式変形すると,次のようになる.式(1.6)は,ちょうど式(1.2)に窓関数をかけた形となっていることがわかる.また,式(1.6)をグラフで描くと,図6(a)となる.

(1.6)

 tnT 'とサンプリングすると,サンプルレートが1/T 'であるディジタルフィルタのインパルス応答hn )が得られる〔図6(b)〕.

1. 特集執筆にあたって

-ディジタル信号の帯域制限-

2. データ伝送とディジタル通信システム
システムの概要,バイナリデータとシンボル

3. 帯域制限によるシンボル間干渉(Inter Symbol Interference:ISI)
パルス波形の周波数スペクトル,符号間干渉

4. 帯域制限によるシンボル間干渉(Inter Symbol Interference:ISI
ナイキスト基準とロールオフフィルタ,ナイキスト/ロールオフフィルタの振幅特性

5. 帯域制限によるシンボル間干渉(Inter Symbol Interference:ISI)
コサインロールオフフィルタ,コサインロールオフフィルタのインパルス応答

6. 帯域制限によるシンボル間干渉(Inter Symbol Interference:ISI)
オーバサンプリング・ロールオフフィルタ,ルートロールオフフィルタ


10月号特集トップページへ戻る


Copyright 2001 尾知 博